Home Browse Text SearchFunctional Group SearchStructure SearchPreferences Administration

selected data collection: 1

IRIS SDF: browse content


1
  <<    <    >    >>  

1:521549 C15H21NO4
hit structure
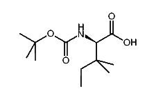
1:521550 C18H27NO5
hit structure
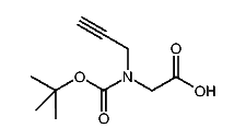
1:521551 C10H17NO4S
hit structure
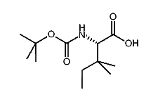
1:521552 C13H17NO4
hit structure
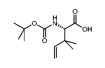
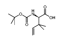
1:521553 C13H17NO4
hit structure
1:521554 C8H15NO5
hit structure
1:521555 C10H17NO4
hit structure
1:521556 C10H15NO4
hit structure
1:521557 C10H17NO4
hit structure
1:521558 C10H17NO4
hit structure
1:521559 C17H27NO4
hit structure
1:521560 C28H38N2O10
hit structure
1:521561 C28H38N2O10
hit structure
1:521562 C30H42N2O8
hit structure
1:521563 C12H23NO4
hit structure
1:521564 C12H23NO4
hit structure
1:521565 C12H21NO4
hit structure
1:521566 C12H21NO4
hit structure
1:521567 C12H21NO4
hit structure
1:521568 C15H26N2O4
hit structure
1:521569 C13H23NO4
hit structure
1:521570 C14H25NO4
hit structure
1:521571 C11H19NO5
hit structure
1:521572 C9H15NO6
hit structure
1:521573 C14H23NO4
hit structure

1
  <<    <    >    >>  

entries in data collection: 526490