Home Browse Text SearchFunctional Group SearchStructure SearchPreferences Administration

selected data collection: 1

IRIS SDF: browse content


1
  <<    <    >    >>  

1:521200 C24H38N4O7S
hit structure
1:521201 C18H28N4O6S
hit structure
1:521202 C11H22N4O4
hit structure
1:521203 C22H24N2O6
hit structure
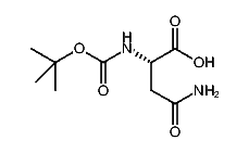
1:521204 C9H16N2O5
hit structure
1:521205 C12H19NO6
hit structure
1:521206 C16H21NO6
hit structure
1:521207 C15H25NO6
hit structure
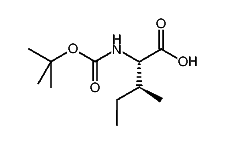
1:521208 C13H23NO6
hit structure
1:521209 C13H23NO6
hit structure
1:521210 C13H23NO6
hit structure
1:521211 C11H20N2O5S
hit structure
1:521212 C15H21NO4S
hit structure
1:521213 C16H23NO4S
hit structure
1:521214 C16H23NO5S
hit structure
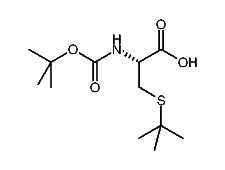
1:521215 C12H23NO4S
hit structure
1:521216 C16H27NO6
hit structure
1:521217 C16H25N3O6
hit structure
1:521218 C11H17N3O4
hit structure
1:521219 C10H17NO5
hit structure
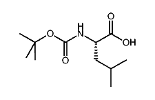
1:521220 C11H21NO4
hit structure
1:521221 C11H21NO4
hit structure
1:521222 C19H27ClN2O6
hit structure
1:521223 C15H26N2O6
hit structure
1:521224 C16H30N2O6
hit structure

1
  <<    <    >    >>  

entries in data collection: 532120