Home Browse Text SearchFunctional Group SearchStructure SearchPreferences Administration

selected data collection: 1

IRIS SDF: browse content


1
  <<    <    >    >>  

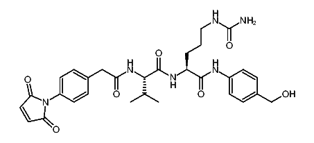
1:521008 C25H32N4O6
hit structure
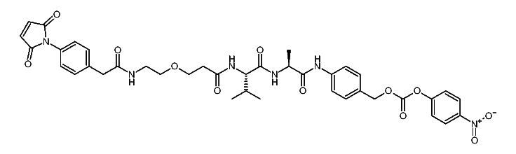
1:521009 C32H35N5O10
hit structure
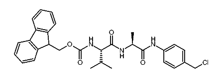
1:521010 C19H26N6O4
hit structure
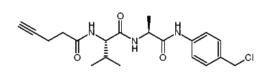
1:521011 C26H29N7O8
hit structure
1:521012 C19H23N3O4
hit structure
1:521013 C26H26N4O8
hit structure
1:521014 C34H34N4O5
hit structure
1:521015 C41H37N5O9
hit structure
1:521016 C20H30ClN3O4
hit structure
1:521017 C30H32ClN3O4
hit structure
1:521018 C21H31ClN6O3
hit structure
1:521019 C20H26ClN3O3
hit structure
1:521020 C25H33ClN4O5
hit structure
1:521021 C20H29ClN6O4
hit structure
1:521022 C23H32ClN3O5
hit structure
1:521023 C27H30N4O6
hit structure
1:521024 C34H33N5O10
hit structure
1:521025 C30H36N6O7
hit structure
1:521026 C37H39N7O11
hit structure
1:521027 C32H39N5O8
hit structure
1:521028 C39H42N6O12
hit structure
1:521029 C13H14O5
hit structure
1:521030 C20H17NO9
hit structure
1:521031 C42H54N6O9
hit structure
1:521032 C49H57N7O13
hit structure

1
  <<    <    >    >>  

entries in data collection: 532120