Home Browse Text SearchFunctional Group SearchStructure SearchPreferences Administration

selected data collection: 1

IRIS SDF: browse content


1
  <<    <    >    >>  

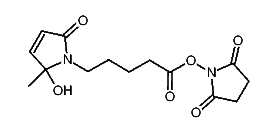
1:520283 C22H34N4O5S
hit structure
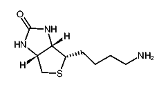
1:520284 C9H17N3OS
hit structure
1:520285 C20H17Cl
hit structure
1:520286 C6H7ClIN
hit structure
1:520287 C8H9NO2
hit structure
1:520288 C22H20O2S
hit structure
1:520289 C16H15F5N2O3S
hit structure
1:520290 C17H24N6O5
hit structure
1:520291 C18H23N3O5
hit structure
1:520292 C27H40N6O7S
hit structure
1:520293 C36H39N5O7
hit structure
1:520294 C15H27N5O3S2
hit structure
1:520295 C9H6N4O3
hit structure
1:520296 C13H16N4O4
hit structure
1:520297 C6H7NO5
hit structure
1:520298 C10H11NO2S
hit structure
1:520299 C8H9NO2
hit structure
1:520300 C10H15NO4
hit structure
1:520301 C14H18N2O6
hit structure
1:520302 C12H19NO6
hit structure
1:520303 C16H22N2O8
hit structure
1:520304 C22H32N2O11
hit structure
1:520305 C17H25N3O5
hit structure
1:520306 C11H16N2O4
hit structure
1:520307 C19H21N3O10
hit structure

1
  <<    <    >    >>  

entries in data collection: 520860