Home Browse Text SearchFunctional Group SearchStructure SearchPreferences Administration

selected data collection: 1

IRIS SDF: browse content


1
  <<    <    >    >>  

1:520233 C34H31N7O3
hit structure
1:520234 C24H22N2O2
hit structure
1:520235 C23H21F9N4O4S
hit structure
1:520236 C21H16F9NO5S
hit structure
1:520237 C35H41F9N4O6S2
hit structure
1:520238 C16H30N4O4S
hit structure
1:520239 C7H7N3O
hit structure
1:520240 C8H4N2O4S
hit structure
1:520241 C12H16N2O5S2
hit structure
1:520242 C5H9N3O2S2
hit structure
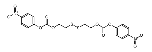
1:520243 C24H24N2O4S2
hit structure
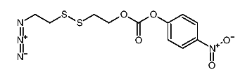
1:520244 C14H24N6O2S3
hit structure
1:520245 C20H22BNO7
hit structure
1:520246 C36H35BN2O13
hit structure
1:520247 C11H12N4O5S2
hit structure
1:520248 C18H16N2O10S2
hit structure
1:520249 C19H14N2O4S3
hit structure
1:520250 C10H17NOS
hit structure
1:520251 C13H22N2O2S
hit structure
1:520252 C14H21NO4S
hit structure
1:520253 C18H34N4O5S
hit structure
1:520254 C10H8N4OS
hit structure
1:520255 C20H22N6O3S2
hit structure
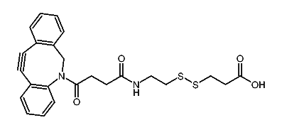
1:520256 C23H28N6O3S2
hit structure
1:520257 C31H43N7O8S2
hit structure

1
  <<    <    >    >>  

entries in data collection: 520860