Home Browse Text SearchFunctional Group SearchStructure SearchPreferences Administration

selected data collection: 1

IRIS SDF: browse content


1
  <<    <    >    >>  

1:520158 C18H35N3O2
hit structure
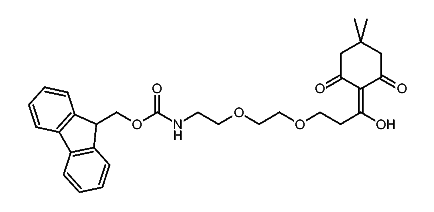
1:520159 C29H33NO5
hit structure
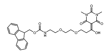
1:520160 C30H35NO7
hit structure
1:520161 C13H19N3O3
hit structure
1:520162 C11H15N5O4
hit structure
1:520163 C15H25N3O4S3
hit structure
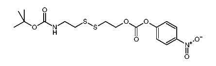
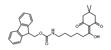
1:520164 C23H26N2O5S2
hit structure
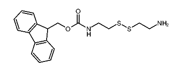
1:520165 C10H18N4O3S2
hit structure
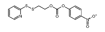
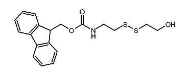
1:520166 C10H15NO3S2
hit structure
1:520167 C53H59N3O5S
hit structure
1:520168 C53H60N4O4S
hit structure
1:520169 C19H22N2O2S2
hit structure
1:520170 C14H26N4O2S3
hit structure
1:520171 C9H12N2O4
hit structure
1:520172 C7H8N2O2
hit structure
1:520173 C17H21N3O8
hit structure
1:520174 C10H12N2O6
hit structure
1:520175 C15H21NO4
hit structure
1:520176 C28H31N3O8
hit structure
1:520177 C12H18N4O4
hit structure
1:520178 C13H19N3O2S
hit structure
1:520179 C14H12N2O5S2
hit structure
1:520180 C9H19NO3S2
hit structure
1:520181 C16H22N2O7S2
hit structure
1:520182 C19H21NO3S2
hit structure

1
  <<    <    >    >>  

entries in data collection: 520860