Home Browse Text SearchFunctional Group SearchStructure SearchPreferences Administration

selected data collection: 1

IRIS SDF: browse content


1
  <<    <    >    >>  

1:520008 C11H12N4O4S
hit structure
1:520009 C13F10O3
hit structure
1:520010 C6HF5O
hit structure
1:520011 C8F8O2
hit structure
1:520012 C14H21NO5
hit structure
1:520013 C12H24BrF6N3P2
hit structure
1:520014 C14H22N4O4
hit structure
1:520015 C9H8N2O7
hit structure
1:520016 C11H16BF4N5O
hit structure
1:520017 C14H20BF4N3O3
hit structure
1:520018 C10H16BF4N3O2
hit structure
1:520019 C9H16BF4N3O3
hit structure
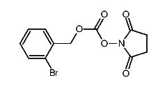
1:520020 C12H10BrNO5
hit structure
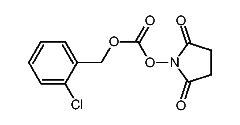
1:520021 C12H10ClNO5
hit structure
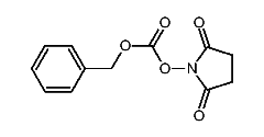
1:520022 C12H11NO5
hit structure
1:520023 C5H12ClF6N2P
hit structure
1:520024 C15H13NO2
hit structure
1:520025 C5H12F7N2P
hit structure
1:520026 C8H8O3
hit structure
1:520027 C5H7N3O3
hit structure
1:520028 C10H16F6N3O2P
hit structure
1:520029 C2H6S2
hit structure
1:520030 C2H6S
hit structure
1:520031 C7H8O
hit structure
1:520032 C7H8S
hit structure

1
  <<    <    >    >>  

entries in data collection: 520860