Home Browse Text SearchFunctional Group SearchStructure SearchPreferences Administration

selected data collection: 1

IRIS SDF: browse content


1
  <<    <    >    >>  

1:519755 C13H26N4O5
hit structure
1:519756 C14H24O7
hit structure
1:519757 C25H31NO7
hit structure
1:519758 C27H35NO8
hit structure
1:519759 C29H39NO9
hit structure
1:519760 C31H43NO10
hit structure
1:519761 C20H27N3O7S2
hit structure
1:519762 C20H27N3O7S2
hit structure
1:519763 C20H27N3O7S2
hit structure
1:519764 C20H27N3O7S2
hit structure
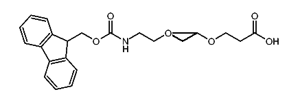
1:519765 C5H12O3
hit structure
1:519766 C37H33N3O3
hit structure
1:519767 C37H33N3O3
hit structure
1:519768 C38H57NO14
hit structure
1:519769 C40H35N7O7
hit structure
1:519770 C39H35N5O8
hit structure
1:519771 C40H35N7O8
hit structure
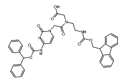
1:519772 C26H26N4O7
hit structure
1:519773 C25H24N4O7
hit structure
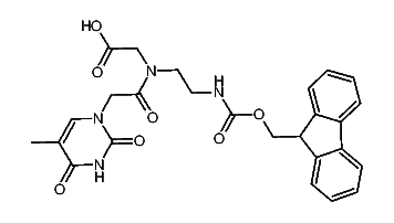
1:519774 C24H26N2O6
hit structure
1:519775 C29H34N2O8
hit structure
1:519776 C45H43N3O7
hit structure
1:519777 C30H30N2O6
hit structure
1:519778 C23H24N2O6
hit structure
1:519779 C27H32N2O6
hit structure

1
  <<    <    >    >>  

entries in data collection: 520860