Home Browse Text SearchFunctional Group SearchStructure SearchPreferences Administration

selected data collection: 1

IRIS SDF: browse content


1
  <<    <    >    >>  

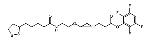
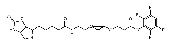
1:519705 C25H35F4NO7S2
hit structure
1:519706 C33H51F4NO11S2
hit structure
1:519707 C41H67F4NO15S2
hit structure
1:519708 C65H115F4NO27S2
hit structure
1:519709 C89H163F4NO39S2
hit structure
1:519710 C66H126N4O26S3
hit structure
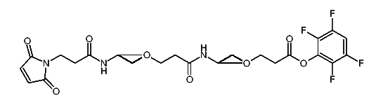
1:519711 C20H20F4N2O7
hit structure
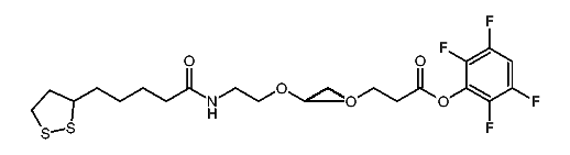
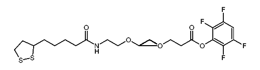
1:519712 C24H28F4N2O9
hit structure
1:519713 C32H44F4N2O13
hit structure
1:519714 C40H60F4N2O17
hit structure
1:519715 C64H108F4N2O29
hit structure
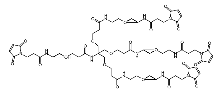
1:519716 C88H156F4N2O41
hit structure
1:519717 C115H209F4N3O54
hit structure
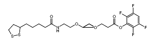
1:519718 C19H24BrF4NO7
hit structure
1:519719 C35H56BrF4NO15
hit structure
1:519720 C59H104BrF4NO27
hit structure
1:519721 C44H70N4O18
hit structure
1:519722 C57H101F4N3O26
hit structure
1:519723 C81H149F4N3O38
hit structure
1:519724 C140H246N12O64
hit structure
1:519725 C120H230Br4N8O56
hit structure
1:519726 C53H108N2O25
hit structure
1:519727 C26H45NO15
hit structure
1:519728 C58H109NO31
hit structure
1:519729 C67H117F4N3O28S
hit structure

1
  <<    <    >    >>  

entries in data collection: 520860