Home Browse Text SearchFunctional Group SearchStructure SearchPreferences Administration

selected data collection: 1

IRIS SDF: browse content


1
  <<    <    >    >>  

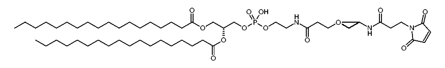
1:519580 C59H116NO17P
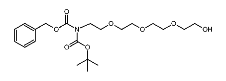
hit structure
1:519581 C75H140N3O24P
hit structure
1:519582 C25H44N4O8S
hit structure
1:519583 C10H18N4O5
hit structure
1:519584 C10H21N3O5
hit structure
1:519585 C16H34O8S
hit structure
1:519586 C10H22N4O4
hit structure
1:519587 C4H9N3O2
hit structure
1:519588 C4H9N3O2
hit structure
1:519589 C4H9N3O2
hit structure
1:519590 C4H9N3O2
hit structure
1:519591 C21H25NO5
hit structure
1:519592 C23H29NO6
hit structure
1:519593 C21H33NO8
hit structure
1:519594 C10H19N3O4
hit structure
1:519595 C8H15N3O5
hit structure
1:519596 C18H27NO9
hit structure
1:519597 C11H21NO4
hit structure
1:519598 C18H26N2O7
hit structure
1:519599 C4H10O2S
hit structure
1:519600 C4H10O2S
hit structure
1:519601 C4H10O2S
hit structure
1:519602 C15H20N2O5
hit structure
1:519603 C15H20N2O5
hit structure
1:519604 C15H20N2O5
hit structure

1
  <<    <    >    >>  

entries in data collection: 520860