Home Browse Text SearchFunctional Group SearchStructure SearchPreferences Administration

selected data collection: 1

IRIS SDF: browse content


1
  <<    <    >    >>  

1:516644 C21H21NO5
hit structure
1:516645 C21H21NO5
hit structure
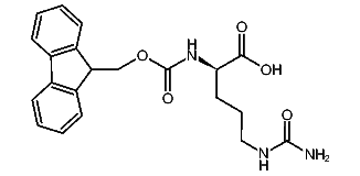
1:516646 C26H25NO5
hit structure
1:516647 C29H29NO6
hit structure
1:516648 C18H17NO4
hit structure
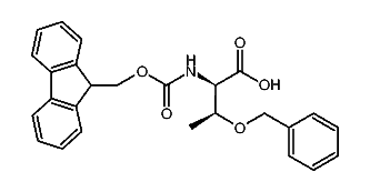
1:516649 C28H23NO4
hit structure
1:516650 C23H20N2O4
hit structure
1:516651 C21H23NO4
hit structure
1:516652 C34H40N4O7S
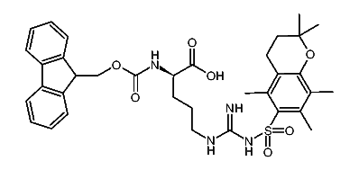
hit structure
1:516653 C35H42N4O7S
hit structure
1:516654 C38H32N2O5
hit structure
1:516655 C22H21NO6
hit structure
1:516656 C23H25NO6
hit structure
1:516657 C22H21NO6
hit structure
1:516658 C23H25NO6
hit structure
1:516659 C24H27NO4
hit structure
1:516660 C21H23N3O5
hit structure
1:516661 C23H25NO4
hit structure
1:516662 C22H23NO4
hit structure
1:516663 C23H24N2O6
hit structure
1:516664 C24H28N2O6
hit structure
1:516665 C29H32N2O6
hit structure
1:516666 C22H22N2O6
hit structure
1:516667 C23H26N2O6
hit structure
1:516668 C39H34N2O5
hit structure

1
  <<    <    >    >>  

entries in data collection: 520860