Home Browse Text SearchFunctional Group SearchStructure SearchPreferences Administration

selected data collection: 1

IRIS SDF: browse content


1
  <<    <    >    >>  

1:516391 C41H51N3O8
hit structure
1:516392 C46H53N3O8
hit structure
1:516393 C38H45N3O7
hit structure
1:516394 C52H64N6O10S
hit structure
1:516395 C8H11N
hit structure
1:516396 C15H21NO4
hit structure
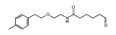
1:516397 C11H17NO
hit structure
1:516398 C15H21NO4
hit structure
1:516399 C11H17NO
hit structure
1:516400 C11H15BrO
hit structure
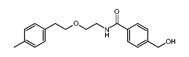
1:516401 C17H25NO3
hit structure
1:516402 C18H30O5
hit structure
1:516403 C19H22O4
hit structure
1:516404 C18H20O3
hit structure
1:516405 C19H23NO3
hit structure
1:516406 C43H44N2O7
hit structure
1:516407 C16H22O4
hit structure
1:516408 C11H16OS
hit structure
1:516409 C31H31NO3
hit structure
1:516410 C18H22O3
hit structure
1:516411 C11H15BrO
hit structure
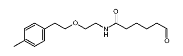
1:516412 C17H25NO3
hit structure
1:516413 C18H30O5
hit structure
1:516414 C19H22O4
hit structure
1:516415 C18H20O3
hit structure

1
  <<    <    >    >>  

entries in data collection: 520860