Home Browse Text SearchFunctional Group SearchStructure SearchPreferences Administration

selected data collection: 1

IRIS SDF: browse content


1
  <<    <    >    >>  

1:514683 C13H28BrN5O4
hit structure
1:514684 C31H26N2O7S2
hit structure
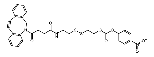
1:514685 C35H29N3O7S2
hit structure
1:514686 C30H27N3O7S2
hit structure
1:514687 C30H57N3O13
hit structure
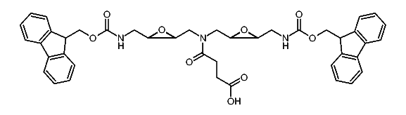
1:514688 C50H61N3O13
hit structure
1:514689 C13H26N2O5
hit structure
1:514690 C28H31NO5S
hit structure
1:514691 C13H8O3
hit structure
1:514692 C8H5N3S
hit structure
1:514693 C6H3Br2NO4
hit structure
1:514694 C8H8Br2N2O4
hit structure
1:514695 C37H43Br2N5O9
hit structure
1:514696 C6H4BrNO4
hit structure
1:514697 C35H39BrN4O9
hit structure
1:514698 C9H13BrN2O4
hit structure
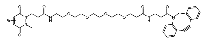
1:514699 C38H48BrN5O9
hit structure
1:514700 C32H36N2O8
hit structure
1:514701 C23H20N2O2
hit structure
1:514702 C30H34N2O6
hit structure
1:514703 C16H15N3O
hit structure
1:514704 C21H25N3O5
hit structure
1:514705 C19H21N5O2S
hit structure
1:514706 C30H42N6O7S
hit structure
1:514707 C7H5N3O3
hit structure

1
  <<    <    >    >>  

entries in data collection: 515230