Home Browse Text SearchFunctional Group SearchStructure SearchPreferences Administration

selected data collection: 1

IRIS SDF: browse content


1
  <<    <    >    >>  

1:514532 C11H15N5O4
hit structure
1:514533 C15H25N3O4S3
hit structure
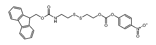
1:514534 C23H26N2O5S2
hit structure
1:514535 C10H18N4O3S2
hit structure
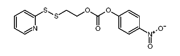
1:514536 C10H15NO3S2
hit structure
1:514537 C53H59N3O5S
hit structure
1:514538 C53H60N4O4S
hit structure
1:514539 C19H22N2O2S2
hit structure
1:514540 C14H26N4O2S3
hit structure
1:514541 C9H12N2O4
hit structure
1:514542 C7H8N2O2
hit structure
1:514543 C17H21N3O8
hit structure
1:514544 C10H12N2O6
hit structure
1:514545 C15H21NO4
hit structure
1:514546 C28H31N3O8
hit structure
1:514547 C12H18N4O4
hit structure
1:514548 C13H19N3O2S
hit structure
1:514549 C14H12N2O5S2
hit structure
1:514550 C9H19NO3S2
hit structure
1:514551 C16H22N2O7S2
hit structure
1:514552 C19H21NO3S2
hit structure
1:514553 C26H24N2O7S2
hit structure
1:514554 C19H14N2O5S2
hit structure
1:514555 C14H21NO3S2
hit structure
1:514556 C21H24N2O7S2
hit structure

1
  <<    <    >    >>  

entries in data collection: 515230