Home Browse Text SearchFunctional Group SearchStructure SearchPreferences Administration

selected data collection: 1

IRIS SDF: browse content


1
  <<    <    >    >>  

1:514082 C24H28F4N2O9
hit structure
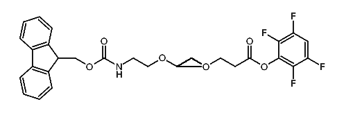
1:514083 C32H44F4N2O13
hit structure
1:514084 C40H60F4N2O17
hit structure
1:514085 C64H108F4N2O29
hit structure
1:514086 C88H156F4N2O41
hit structure
1:514087 C115H209F4N3O54
hit structure
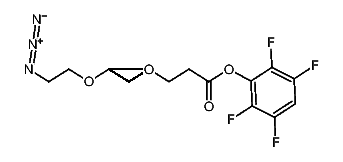
1:514088 C19H24BrF4NO7
hit structure
1:514089 C35H56BrF4NO15
hit structure
1:514090 C59H104BrF4NO27
hit structure
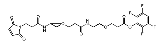
1:514091 C44H70N4O18
hit structure
1:514092 C57H101F4N3O26
hit structure
1:514093 C81H149F4N3O38
hit structure
1:514094 C140H246N12O64
hit structure
1:514095 C120H230Br4N8O56
hit structure
1:514096 C53H108N2O25
hit structure
1:514097 C26H45NO15
hit structure
1:514098 C58H109NO31
hit structure
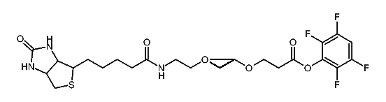
1:514099 C67H117F4N3O28S
hit structure
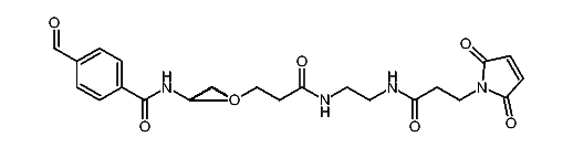
1:514100 C31H44F4N4O9S
hit structure
1:514101 C47H76F4N4O17S
hit structure
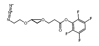
1:514102 C32H33F4NO8
hit structure
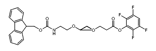
1:514103 C40H49F4NO12
hit structure
1:514104 C48H65F4NO16
hit structure
1:514105 C72H113F4NO28
hit structure
1:514106 C96H161F4NO40
hit structure

1
  <<    <    >    >>  

entries in data collection: 520860