Home Browse Text SearchFunctional Group SearchStructure SearchPreferences Administration

selected data collection: 1

IRIS SDF: browse content


1
  <<    <    >    >>  

1:513810 C11H17IN2O3
hit structure
1:513811 C6H11IN4O2
hit structure
1:513812 C6H11IN4O2
hit structure
1:513813 C6H11IN4O2
hit structure
1:513814 C6H11IN4O2
hit structure
1:513815 C80H155NO41
hit structure
1:513816 C76H152O39
hit structure
1:513817 C102H203NO51
hit structure
1:513818 C47H96O24
hit structure
1:513819 C73H148O37
hit structure
1:513820 C31H65NO15
hit structure
1:513821 C73H149NO36
hit structure
1:513822 C97H197NO48
hit structure
1:513823 C75H151NO38
hit structure
1:513824 C80H154N2O39
hit structure
1:513825 C104H202N2O51
hit structure
1:513826 C178H346N6O86
hit structure
1:513827 C73H147N3O36
hit structure
1:513828 C27H54O14S
hit structure
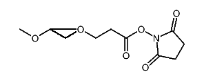
1:513829 C9H20O4S
hit structure
1:513830 C17H36O8S
hit structure
1:513831 C25H52O12S
hit structure
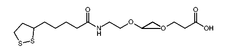
1:513832 C19H35NO7S2
hit structure
1:513833 C27H51NO11S2
hit structure
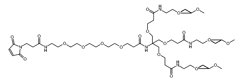
1:513834 C59H115NO27S2
hit structure

1
  <<    <    >    >>  

entries in data collection: 520860