Home Browse Text SearchFunctional Group SearchStructure SearchPreferences Administration

selected data collection: 1

IRIS SDF: browse content


1
  <<    <    >    >>  

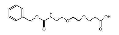
1:513660 C26H39N3O13
hit structure
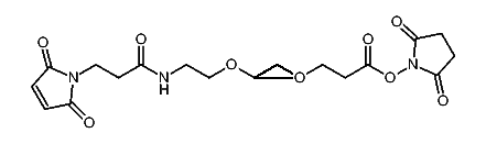
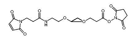
1:513661 C30H47N3O15
hit structure
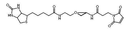
1:513662 C41H71N5O16S
hit structure
1:513663 C58H108N2O29
hit structure
1:513664 C27H43N5O8S
hit structure
1:513665 C26H44N2O13
hit structure
1:513666 C10H20O6
hit structure
1:513667 C18H36O10
hit structure
1:513668 C6H12O4
hit structure
1:513669 C52H104O27
hit structure
1:513670 C25H53NO12
hit structure
1:513671 C25H51N3O12
hit structure
1:513672 C32H58N2O15
hit structure
1:513673 C49H101NO24
hit structure
1:513674 C56H106N2O27
hit structure
1:513675 C9H21NO4
hit structure
1:513676 C9H19N3O4
hit structure
1:513677 C17H37NO8
hit structure
1:513678 C17H35N3O8
hit structure
1:513679 C49H99N3O24
hit structure
1:513680 C15H33NO7
hit structure
1:513681 C39H54O11S
hit structure
1:513682 C31H38O7S
hit structure
1:513683 C35H61NO16
hit structure
1:513684 C59H109NO28
hit structure

1
  <<    <    >    >>  

entries in data collection: 520860