Home Browse Text SearchFunctional Group SearchStructure SearchPreferences Administration

selected data collection: 1

IRIS SDF: browse content


1
  <<    <    >    >>  

1:509943 C22H24N2O6
hit structure
1:509944 C9H16N2O5
hit structure
1:509945 C12H19NO6
hit structure
1:509946 C16H21NO6
hit structure
1:509947 C15H25NO6
hit structure
1:509948 C13H23NO6
hit structure
1:509949 C13H23NO6
hit structure
1:509950 C13H23NO6
hit structure
1:509951 C11H20N2O5S
hit structure
1:509952 C15H21NO4S
hit structure
1:509953 C16H23NO4S
hit structure
1:509954 C16H23NO5S
hit structure
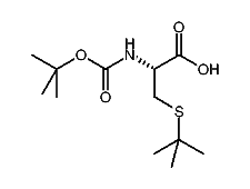
1:509955 C12H23NO4S
hit structure
1:509956 C16H27NO6
hit structure
1:509957 C16H25N3O6
hit structure
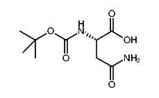
1:509958 C11H17N3O4
hit structure
1:509959 C10H17NO5
hit structure
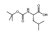
1:509960 C11H21NO4
hit structure
1:509961 C11H21NO4
hit structure
1:509962 C19H27ClN2O6
hit structure
1:509963 C15H26N2O6
hit structure
1:509964 C16H30N2O6
hit structure
1:509965 C19H28N2O6
hit structure
1:509966 C11H22N2O4
hit structure
1:509967 C9H17NO4
hit structure

1
  <<    <    >    >>  

entries in data collection: 515230