Home Browse Text SearchFunctional Group SearchStructure SearchPreferences Administration

selected data collection: 1

IRIS SDF: browse content


1
  <<    <    >    >>  

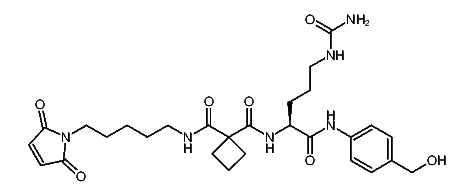
1:509732 C27H30N4O8
hit structure
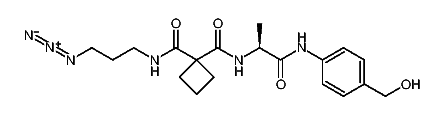
1:509733 C26H42N6O8
hit structure
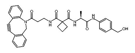
1:509734 C33H45N7O12
hit structure
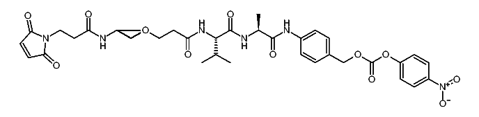
1:509735 C29H45N3O9
hit structure
1:509736 C36H48N4O13
hit structure
1:509737 C33H49N5O11
hit structure
1:509738 C40H52N6O15
hit structure
1:509739 C40H51N5O8
hit structure
1:509740 C28H38N6O7
hit structure
1:509741 C35H41N7O11
hit structure
1:509742 C22H32N8O5
hit structure
1:509743 C29H35N9O9
hit structure
1:509744 C22H29N5O5
hit structure
1:509745 C29H32N6O9
hit structure
1:509746 C37H40N6O6
hit structure
1:509747 C44H43N7O10
hit structure
1:509748 C25H32N4O6
hit structure
1:509749 C32H35N5O10
hit structure
1:509750 C19H26N6O4
hit structure
1:509751 C26H29N7O8
hit structure
1:509752 C19H23N3O4
hit structure
1:509753 C26H26N4O8
hit structure
1:509754 C34H34N4O5
hit structure
1:509755 C41H37N5O9
hit structure
1:509756 C20H30ClN3O4
hit structure

1
  <<    <    >    >>  

entries in data collection: 515230