Home Browse Text SearchFunctional Group SearchStructure SearchPreferences Administration

selected data collection: 1

IRIS SDF: browse content


1
  <<    <    >    >>  

1:508915 C15H21NO4
hit structure
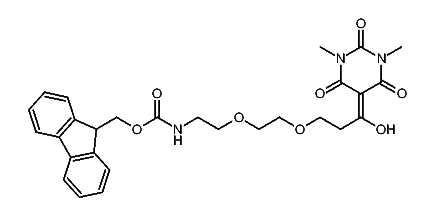
1:508916 C28H31N3O8
hit structure
1:508917 C12H18N4O4
hit structure
1:508918 C13H19N3O2S
hit structure
1:508919 C14H12N2O5S2
hit structure
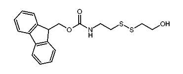
1:508920 C9H19NO3S2
hit structure
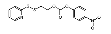
1:508921 C16H22N2O7S2
hit structure
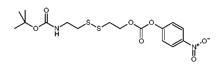
1:508922 C19H21NO3S2
hit structure
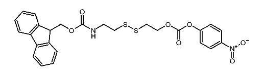
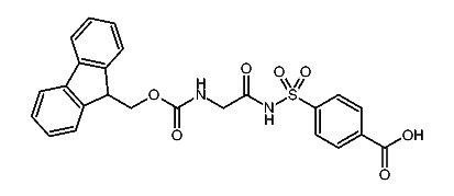
1:508923 C26H24N2O7S2
hit structure
1:508924 C19H14N2O5S2
hit structure
1:508925 C14H21NO3S2
hit structure
1:508926 C21H24N2O7S2
hit structure
1:508927 C24H23NO3S2
hit structure
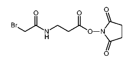
1:508928 C9H11BrN2O5
hit structure
1:508929 C8H14N2O2S
hit structure
1:508930 C24H20N2O7S
hit structure
1:508931 C16H32ClN3O5
hit structure
1:508932 C9H9N3O2
hit structure
1:508933 C10H19NO5
hit structure
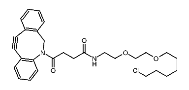
1:508934 C29H35ClN2O4
hit structure
1:508935 C10H22ClNO2
hit structure
1:508936 C14H30ClNO4
hit structure
1:508937 C10H20ClN3O2
hit structure
1:508938 C14H28ClN3O4
hit structure
1:508939 C16H26N2O2
hit structure

1
  <<    <    >    >>  

entries in data collection: 509600