Home Browse Text SearchFunctional Group SearchStructure SearchPreferences Administration

selected data collection: 1

IRIS SDF: browse content


1
  <<    <    >    >>  

1:508565 C49H45N5O5
hit structure
1:508566 C34H38N4O6
hit structure
1:508567 C48H44N4O4S
hit structure
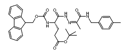
1:508568 C35H40N4O6
hit structure
1:508569 C50H47N5O5
hit structure
1:508570 C28H28N4O4
hit structure
1:508571 C51H46N6O4
hit structure
1:508572 C33H38N4O4
hit structure
1:508573 C32H36N4O4
hit structure
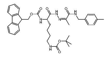
1:508574 C37H45N5O6
hit structure
1:508575 C31H34N4O4S
hit structure
1:508576 C35H34N4O4
hit structure
1:508577 C31H32N4O4
hit structure
1:508578 C33H38N4O5
hit structure
1:508579 C34H40N4O5
hit structure
1:508580 C42H43N5O6
hit structure
1:508581 C39H42N4O5
hit structure
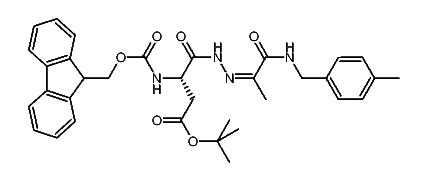
1:508582 C31H34N4O4
hit structure
1:508583 C23H22ClNO2
hit structure
1:508584 C23H22ClNO2
hit structure
1:508585 C23H22ClNO2
hit structure
1:508586 C39H45ClN4O5S
hit structure
1:508587 C39H45ClN4O5S
hit structure
1:508588 C39H45ClN4O5S
hit structure
1:508589 C37H30ClNO4
hit structure

1
  <<    <    >    >>  

entries in data collection: 509600