Home Browse Text SearchFunctional Group SearchStructure SearchPreferences Administration

selected data collection: 1

IRIS SDF: browse content


1
  <<    <    >    >>  

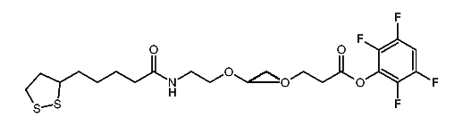
1:508448 C65H115F4NO27S2
hit structure
1:508449 C89H163F4NO39S2
hit structure
1:508450 C66H126N4O26S3
hit structure
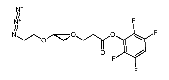
1:508451 C20H20F4N2O7
hit structure
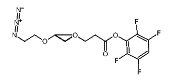
1:508452 C24H28F4N2O9
hit structure
1:508453 C32H44F4N2O13
hit structure
1:508454 C40H60F4N2O17
hit structure
1:508455 C64H108F4N2O29
hit structure
1:508456 C88H156F4N2O41
hit structure
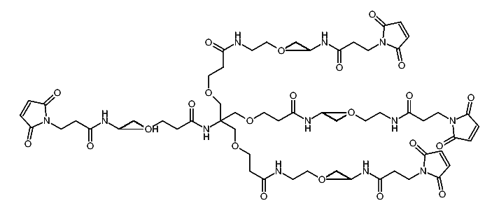
1:508457 C115H209F4N3O54
hit structure
1:508458 C19H24BrF4NO7
hit structure
1:508459 C35H56BrF4NO15
hit structure
1:508460 C59H104BrF4NO27
hit structure
1:508461 C44H70N4O18
hit structure
1:508462 C57H101F4N3O26
hit structure
1:508463 C81H149F4N3O38
hit structure
1:508464 C140H246N12O64
hit structure
1:508465 C120H230Br4N8O56
hit structure
1:508466 C53H108N2O25
hit structure
1:508467 C26H45NO15
hit structure
1:508468 C58H109NO31
hit structure
1:508469 C67H117F4N3O28S
hit structure
1:508470 C31H44F4N4O9S
hit structure
1:508471 C47H76F4N4O17S
hit structure
1:508472 C32H33F4NO8
hit structure

1
  <<    <    >    >>  

entries in data collection: 509600