Home Browse Text SearchFunctional Group SearchStructure SearchPreferences Administration

selected data collection: 1

IRIS SDF: browse content


1
  <<    <    >    >>  

1:508315 C37H45F4N5O13
hit structure
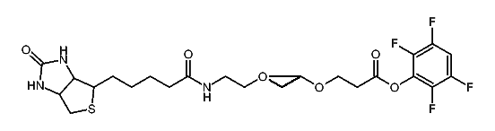
1:508316 C43H69F4N3O16S
hit structure
1:508317 C18H34N4O6S
hit structure
1:508318 C14H26N4O6
hit structure
1:508319 C25H30N2O8
hit structure
1:508320 C59H116NO17P
hit structure
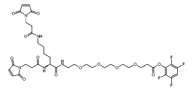
1:508321 C75H140N3O24P
hit structure
1:508322 C25H44N4O8S
hit structure
1:508323 C10H18N4O5
hit structure
1:508324 C10H21N3O5
hit structure
1:508325 C16H34O8S
hit structure
1:508326 C10H22N4O4
hit structure
1:508327 C4H9N3O2
hit structure
1:508328 C4H9N3O2
hit structure
1:508329 C4H9N3O2
hit structure
1:508330 C4H9N3O2
hit structure
1:508331 C21H25NO5
hit structure
1:508332 C23H29NO6
hit structure
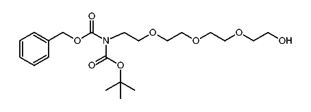
1:508333 C21H33NO8
hit structure
1:508334 C10H19N3O4
hit structure
1:508335 C8H15N3O5
hit structure
1:508336 C18H27NO9
hit structure
1:508337 C11H21NO4
hit structure
1:508338 C18H26N2O7
hit structure
1:508339 C4H10O2S
hit structure

1
  <<    <    >    >>  

entries in data collection: 509600