Home Browse Text SearchFunctional Group SearchStructure SearchPreferences Administration

selected data collection: 1

IRIS SDF: browse content


1
  <<    <    >    >>  

1:508240 C26H50N4O9S
hit structure
1:508241 C34H66N4O13S
hit structure
1:508242 C58H114N4O25S
hit structure
1:508243 C65H119N5O28S
hit structure
1:508244 C26H48N6O9S
hit structure
1:508245 C34H64N6O13S
hit structure
1:508246 C58H112N6O25S
hit structure
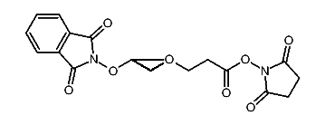
1:508247 C24H29NO7
hit structure
1:508248 C28H37NO9
hit structure
1:508249 C90H161NO40
hit structure
1:508250 C30H36N2O10
hit structure
1:508251 C38H52N2O14
hit structure
1:508252 C46H68N2O18
hit structure
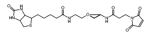
1:508253 C42H59N5O11S
hit structure
1:508254 C58H91N5O19S
hit structure
1:508255 C56H111NO28
hit structure
1:508256 C80H159NO40
hit structure
1:508257 C83H157NO40
hit structure
1:508258 C47H70O15S
hit structure
1:508259 C39H60N2O19
hit structure
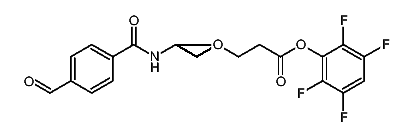
1:508260 C26H29NO4
hit structure
1:508261 C29H60N2O14
hit structure
1:508262 C34H66N4O14S
hit structure
1:508263 C41H59F4NO16
hit structure
1:508264 C65H107F4NO28
hit structure

1
  <<    <    >    >>  

entries in data collection: 509600