Home Browse Text SearchFunctional Group SearchStructure SearchPreferences Administration

selected data collection: 1

IRIS SDF: browse content


1
  <<    <    >    >>  

1:507890 C11H23NO4S
hit structure
1:507891 C27H30N2O8
hit structure
1:507892 C27H30N2O8
hit structure
1:507893 C27H30N2O8
hit structure
1:507894 C20H40O10S
hit structure
1:507895 C19H38O10S
hit structure
1:507896 C6H14O2S2
hit structure
1:507897 C6H14O2S2
hit structure
1:507898 C6H14O2S2
hit structure
1:507899 C6H14O2S2
hit structure
1:507900 C6H14O2S2
hit structure
1:507901 C14H16N2O6
hit structure
1:507902 C14H16N2O6
hit structure
1:507903 C14H16N2O6
hit structure
1:507904 C14H16N2O6
hit structure
1:507905 C34H38N2O7S
hit structure
1:507906 C34H38N2O7S
hit structure
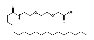
1:507907 C24H47NO5
hit structure
1:507908 C16H36N2O7
hit structure
1:507909 C70H127N3O35
hit structure
1:507910 C74H129NO32
hit structure
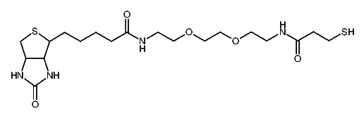
1:507911 C19H34N4O5S2
hit structure
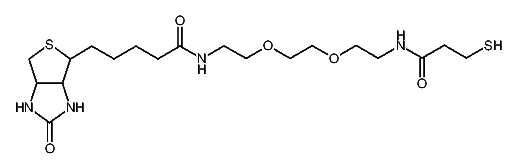
1:507912 C19H34N4O5S2
hit structure
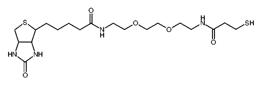
1:507913 C19H34N4O5S2
hit structure
1:507914 C7H15N3O3
hit structure

1
  <<    <    >    >>  

entries in data collection: 509600