Home Browse Text SearchFunctional Group SearchStructure SearchPreferences Administration

selected data collection: 1

IRIS SDF: browse content


1
  <<    <    >    >>  

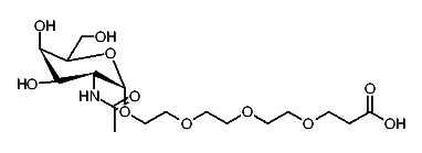
1:506761 C12H23N3O8
hit structure
1:506762 C15H26O9
hit structure
1:506763 C8H15N3O6
hit structure
1:506764 C8H15N3O6
hit structure
1:506765 C8H15N3O6
hit structure
1:506766 C10H18N4O6
hit structure
1:506767 C14H25N3O11
hit structure
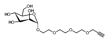
1:506768 C15H28O11
hit structure
1:506769 C17H31NO11
hit structure
1:506770 C17H31NO11
hit structure
1:506771 C15H28O11
hit structure
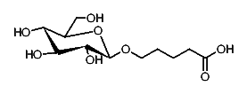
1:506772 C11H20O8
hit structure
1:506773 C11H20O8
hit structure
1:506774 C13H23NO8
hit structure
1:506775 C13H23NO8
hit structure
1:506776 C11H20O8
hit structure
1:506777 C31H36N6O7
hit structure
1:506778 C15H15Cl2N5O6
hit structure
1:506779 C28H31ClN6O7
hit structure
1:506780 C28H31ClN6O7
hit structure
1:506781 C22H24N2O9S
hit structure
1:506782 C24H28FN3O10
hit structure
1:506783 C30H42N2O11
hit structure
1:506784 C30H34N2O10
hit structure
1:506785 C21H32O11
hit structure

1
  <<    <    >    >>  

entries in data collection: 509600