Home Browse Text SearchFunctional Group SearchStructure SearchPreferences Administration

selected data collection: 1

IRIS SDF: browse content


1
  <<    <    >    >>  

1:504464 C9H17NO4
hit structure
1:504465 C16H21NO4
hit structure
1:504466 C18H21NO4
hit structure
1:504467 C13H18N2O4
hit structure
1:504468 C21H34N4O7S
hit structure
1:504469 C16H21NO6
hit structure
1:504470 C21H23NO5
hit structure
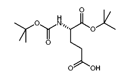
1:504471 C14H25NO4
hit structure
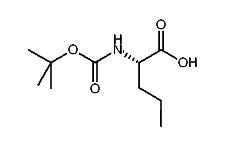
1:504472 C13H23NO4
hit structure
1:504473 C14H25NO6
hit structure
1:504474 C18H23N3O4
hit structure
1:504475 C15H21NO5
hit structure
1:504476 C17H23NO5
hit structure
1:504477 C14H17NO4
hit structure
1:504478 C26H32N2O6
hit structure
1:504479 C22H34N2O6
hit structure
1:504480 C10H19NO5S
hit structure
1:504481 C11H21NO4
hit structure
1:504482 C10H19NO4
hit structure
1:504483 C18H25ClN2O6
hit structure
1:504484 C14H18ClNO4
hit structure
1:504485 C14H18FNO4
hit structure
1:504486 C14H17Cl2NO4
hit structure
1:504487 C14H17F2NO4
hit structure
1:504488 C14H18ClNO4
hit structure

1
  <<    <    >    >>  

entries in data collection: 515230