Home Browse Text SearchFunctional Group SearchStructure SearchPreferences Administration

selected data collection: 1

IRIS SDF: browse content


1
  <<    <    >    >>  

1:504314 C9H16N2O5
hit structure
1:504315 C12H19NO6
hit structure
1:504316 C16H21NO6
hit structure
1:504317 C15H25NO6
hit structure
1:504318 C13H23NO6
hit structure
1:504319 C13H23NO6
hit structure
1:504320 C13H23NO6
hit structure
1:504321 C11H20N2O5S
hit structure
1:504322 C15H21NO4S
hit structure
1:504323 C16H23NO4S
hit structure
1:504324 C16H23NO5S
hit structure
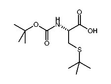
1:504325 C12H23NO4S
hit structure
1:504326 C16H27NO6
hit structure
1:504327 C16H25N3O6
hit structure
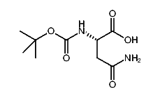
1:504328 C11H17N3O4
hit structure
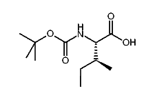
1:504329 C10H17NO5
hit structure
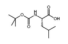
1:504330 C11H21NO4
hit structure
1:504331 C11H21NO4
hit structure
1:504332 C19H27ClN2O6
hit structure
1:504333 C15H26N2O6
hit structure
1:504334 C16H30N2O6
hit structure
1:504335 C19H28N2O6
hit structure
1:504336 C11H22N2O4
hit structure
1:504337 C9H17NO4
hit structure
1:504338 C12H23NO4
hit structure

1
  <<    <    >    >>  

entries in data collection: 515230