Home Browse Text SearchFunctional Group SearchStructure SearchPreferences Administration

selected data collection: 1

IRIS SDF: browse content


1
  <<    <    >    >>  

1:500637 C26H25NO5S
hit structure
1:500638 C22H25NO4S
hit structure
1:500639 C33H28N2O6
hit structure
1:500640 C27H25NO6
hit structure
1:500641 C26H29NO6
hit structure
1:500642 C21H21NO6
hit structure
1:500643 C29H31NO5
hit structure
1:500644 C25H23NO5
hit structure
1:500645 C19H17NO4
hit structure
1:500646 C24H19NO4
hit structure
1:500647 C29H29ClN2O6
hit structure
1:500648 C27H27N3O5
hit structure
1:500649 C27H36N2O6Si
hit structure
1:500650 C24H25NO4
hit structure
1:500651 C28H28N2O6
hit structure
1:500652 C24H20ClNO4
hit structure
1:500653 C24H20FNO4
hit structure
1:500654 C24H19Cl2NO4
hit structure
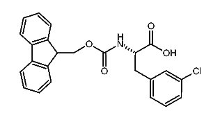
1:500655 C24H20ClNO4
hit structure
1:500656 C24H20FNO4
hit structure
1:500657 C24H20INO4
hit structure
1:500658 C24H20BrNO4
hit structure
1:500659 C35H40N4O8
hit structure
1:500660 C24H22N2O4
hit structure
1:500661 C29H30N2O6
hit structure

1
  <<    <    >    >>  

entries in data collection: 520860