Home Browse Text SearchFunctional Group SearchStructure SearchPreferences Administration

selected data collection: 1

IRIS SDF: browse content


1
  <<    <    >    >>  

1:500537 C30H34N2O6
hit structure
1:500538 C33H40N2O6
hit structure
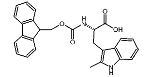
1:500539 C23H20N2O4
hit structure
1:500540 C26H22N2O4
hit structure
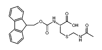
1:500541 C21H22N2O5S
hit structure
1:500542 C18H17NO5
hit structure
1:500543 C23H27NO5
hit structure
1:500544 C19H19NO5
hit structure
1:500545 C22H25NO4
hit structure
1:500546 C22H25NO4
hit structure
1:500547 C21H23NO4
hit structure
1:500548 C26H25NO5
hit structure
1:500549 C27H27NO5
hit structure
1:500550 C18H17NO4
hit structure
1:500551 C23H28N2O4
hit structure
1:500552 C24H31ClN2O4
hit structure
1:500553 C19H19NO5
hit structure
1:500554 C32H42N4O8
hit structure
1:500555 C35H42N4O7S
hit structure
1:500556 C29H38N2O8
hit structure
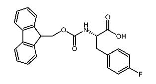
1:500557 C25H23NO4
hit structure
1:500558 C24H20FNO4
hit structure
1:500559 C27H24N2O4
hit structure
1:500560 C19H18N2O5
hit structure
1:500561 C22H25NO4S2
hit structure

1
  <<    <    >    >>  

entries in data collection: 520860