Home Browse Text SearchFunctional Group SearchStructure SearchPreferences Administration

selected data collection: 1

IRIS SDF: browse content


1
  <<    <    >    >>  

1:500235 C39H47N3O7
hit structure
1:500236 C39H47N3O7
hit structure
1:500237 C44H56N4O9
hit structure
1:500238 C38H45N3O7S
hit structure
1:500239 C42H45N3O7
hit structure
1:500240 C40H49N3O8
hit structure
1:500241 C41H51N3O8
hit structure
1:500242 C46H53N3O8
hit structure
1:500243 C38H45N3O7
hit structure
1:500244 C52H64N6O10S
hit structure
1:500245 C8H11N
hit structure
1:500246 C15H21NO4
hit structure
1:500247 C11H17NO
hit structure
1:500248 C15H21NO4
hit structure
1:500249 C11H17NO
hit structure
1:500250 C11H15BrO
hit structure
1:500251 C17H25NO3
hit structure
1:500252 C18H30O5
hit structure
1:500253 C19H22O4
hit structure
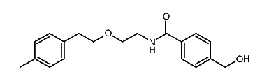
1:500254 C18H20O3
hit structure
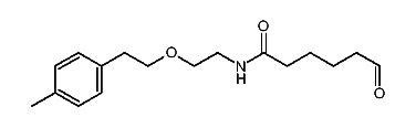
1:500255 C19H23NO3
hit structure
1:500256 C28H30N2O6
hit structure
1:500257 C21H34N2O6
hit structure
1:500258 C29H32N2O6
hit structure
1:500259 C28H30N2O6
hit structure

1
  <<    <    >    >>  

entries in data collection: 516568