Home Browse Text SearchFunctional Group SearchStructure SearchPreferences Administration

selected data collection: 1

IRIS SDF: browse content


1
  <<    <    >    >>  

1:499614 C10H16FNO4
hit structure
1:499615 C10H16FNO4
hit structure
1:499616 C10H15F2NO4
hit structure
1:499617 C26H30N2O6
hit structure
1:499618 C24H28N2O6
hit structure
1:499619 C15H21NO4
hit structure
1:499620 C11H19NO4
hit structure
1:499621 C17H25NO5
hit structure
1:499622 C17H22N2O4
hit structure
1:499623 C22H27NO5
hit structure
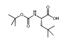
1:499624 C11H21NO4
hit structure
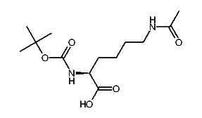
1:499625 C12H23NO4
hit structure
1:499626 C12H23NO4
hit structure
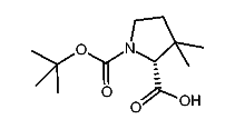
1:499627 C12H21NO4
hit structure
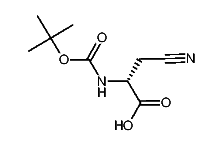
1:499628 C12H21NO4
hit structure
1:499629 C13H24N2O6
hit structure
1:499630 C17H24N2O5S
hit structure
1:499631 C9H14N2O4
hit structure
1:499632 C25H40N4O7S
hit structure
1:499633 C23H31N3O6
hit structure
1:499634 C12H23NO4S2
hit structure
1:499635 C11H21N3O5
hit structure
1:499636 C27H34N4O8
hit structure
1:499637 C13H24N2O5
hit structure
1:499638 C12H21NO4
hit structure

1
  <<    <    >    >>  

entries in data collection: 509600