Home Browse Text SearchFunctional Group SearchStructure SearchPreferences Administration

selected data collection: 1

IRIS SDF: browse content


1
  <<    <    >    >>  

1:499484 C30H31N3O4
hit structure
1:499485 C30H31N3O4
hit structure
1:499486 C11H17NO5
hit structure
1:499487 C10H15NO4
hit structure
1:499488 C15H19NO5
hit structure
1:499489 C14H26N2O6
hit structure
1:499490 C15H19NO5
hit structure
1:499491 C11H21NO6
hit structure
1:499492 C20H23NO4
hit structure
1:499493 C20H23NO4
hit structure
1:499494 C15H21NO5
hit structure
1:499495 C27H52N2O5
hit structure
1:499496 C27H52N2O5
hit structure
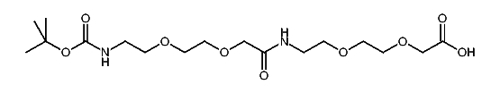
1:499497 C17H32N2O9
hit structure
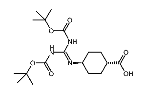
1:499498 C18H31N3O6
hit structure
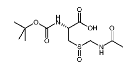
1:499499 C19H27N3O6
hit structure
1:499500 C11H20N2O6S
hit structure
1:499501 C16H18F3N3O4
hit structure
1:499502 C25H24N2O5
hit structure
1:499503 C21H22N2O5
hit structure
1:499504 C17H33NO4
hit structure
1:499505 C29H40N4O7S
hit structure
1:499506 C20H23N3O4
hit structure
1:499507 C14H17Cl2NO5
hit structure
1:499508 C16H31NO4
hit structure

1
  <<    <    >    >>  

entries in data collection: 509600