| Home Browse Text SearchFunctional Group SearchStructure Search | Preferences | Administration |
| 1:498689 | C65H54N2O6 |
|
|
| 1:498690 | C66H56N2O6 |
|
|
| 1:498691 | C59H53N3O7 |
|
|
| 1:498692 | C57(13C)5H63N(15N)4O8S |
|
|
| 1:498693 | C43(13C)6H46N(15N)O5 |
|
|
| 1:498694 | C48(13C)6H55N(15N)2O7 |
|
|
| 1:498695 | C43(13C)5H44N(15N)O5 |
|
|
| 1:498696 | C9H25NO |
|
|
| 1:498697 | C25H30N2 |
|
|
| 1:498698 | C21H21NS |
|
|
| 1:498699 | C61H66N4O10 |
|
|
| 1:498700 | C46H60N4O13 |
|
|
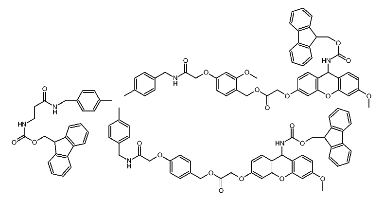
| 1:498701 | C125H120N6O22 |
|
|
| 1:498702 | C110H114N6O25 |
|
|
| 1:498703 | C96H97N7O14 |
|
|
| 1:498704 | C34H33NO5 |
|
|
| 1:498705 | C33H31NO5 |
|
|
| 1:498706 | C36H37NO5 |
|
|
| 1:498707 | C33H31NO5 |
|
|
| 1:498708 | C34H33NO5 |
|
|
| 1:498709 | C41H46N2O7 |
|
|
| 1:498710 | C40H42N2O7 |
|
|
| 1:498711 | C46H52N4O7S |
|
|
| 1:498712 | C51H48N2O7 |
|
|
| 1:498713 | C35H31NO5 |
|
|