Home Browse Text SearchFunctional Group SearchStructure SearchPreferences Administration

selected data collection: 1

IRIS SDF: browse content


1
  <<    <    >    >>  

1:493332 C17H25N3O5
hit structure
1:493333 C11H16N2O4
hit structure
1:493334 C19H21N3O10
hit structure
1:493335 C9H10O3S
hit structure
1:493336 C26H38N4O7S
hit structure
1:493337 C16H22N4O5
hit structure
1:493338 C19H25NO6
hit structure
1:493339 C10H15N3O2
hit structure
1:493340 C13H28BrN5O4
hit structure
1:493341 C31H26N2O7S2
hit structure
1:493342 C35H29N3O7S2
hit structure
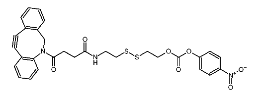
1:493343 C30H27N3O7S2
hit structure
1:493344 C30H57N3O13
hit structure
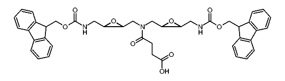
1:493345 C50H61N3O13
hit structure
1:493346 C13H26N2O5
hit structure
1:493347 C28H31NO5S
hit structure
1:493348 C13H8O3
hit structure
1:493349 C8H5N3S
hit structure
1:493350 C6H3Br2NO4
hit structure
1:493351 C35H38Br2N4O9
hit structure
1:493352 C8H8Br2N2O4
hit structure
1:493353 C37H43Br2N5O9
hit structure
1:493354 C6H4BrNO4
hit structure
1:493355 C35H39BrN4O9
hit structure
1:493356 C9H13BrN2O4
hit structure

1
  <<    <    >    >>  

entries in data collection: 498938