Home Browse Text SearchFunctional Group SearchStructure SearchPreferences Administration

selected data collection: 1

IRIS SDF: browse content


1
  <<    <    >    >>  

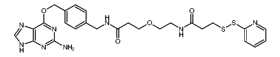
1:493257 C31H40N8O9
hit structure
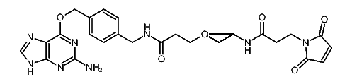
1:493258 C21H21N7O2S2
hit structure
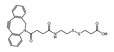
1:493259 C26H30N8O4S2
hit structure
1:493260 C34H31N7O3
hit structure
1:493261 C24H22N2O2
hit structure
1:493262 C23H21F9N4O4S
hit structure
1:493263 C21H16F9NO5S
hit structure
1:493264 C35H41F9N4O6S2
hit structure
1:493265 C16H30N4O4S
hit structure
1:493266 C7H7N3O
hit structure
1:493267 C8H4N2O4S
hit structure
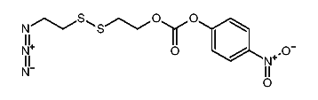
1:493268 C12H16N2O5S2
hit structure
1:493269 C5H9N3O2S2
hit structure
1:493270 C24H24N2O4S2
hit structure
1:493271 C14H24N6O2S3
hit structure
1:493272 C20H22BNO7
hit structure
1:493273 C36H35BN2O13
hit structure
1:493274 C11H12N4O5S2
hit structure
1:493275 C18H16N2O10S2
hit structure
1:493276 C19H14N2O4S3
hit structure
1:493277 C10H17NOS
hit structure
1:493278 C13H22N2O2S
hit structure
1:493279 C14H21NO4S
hit structure
1:493280 C18H34N4O5S
hit structure
1:493281 C10H8N4OS
hit structure

1
  <<    <    >    >>  

entries in data collection: 498938