Home Browse Text SearchFunctional Group SearchStructure SearchPreferences Administration

selected data collection: 1

IRIS SDF: browse content


1
  <<    <    >    >>  

1:493107 C17H25N5O4
hit structure
1:493108 C29H37N3O6
hit structure
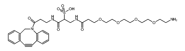
1:493109 C32H42N4O10S
hit structure
1:493110 C21H19NO3
hit structure
1:493111 C25H22N2O5
hit structure
1:493112 C32H40N2O9
hit structure
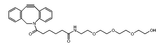
1:493113 C36H43N3O11
hit structure
1:493114 C59H69N3O14S3
hit structure
1:493115 C25H21N3O4
hit structure
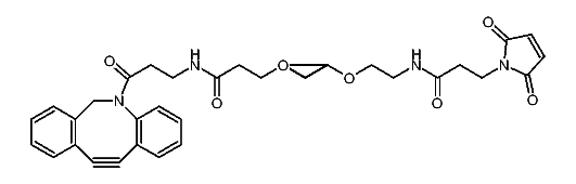
1:493116 C36H42N4O9
hit structure
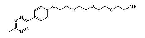
1:493117 C29H36N2O6
hit structure
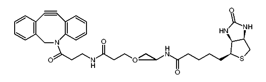
1:493118 C39H51N5O8S
hit structure
1:493119 C26H30N2O4
hit structure
1:493120 C26H30N2O4
hit structure
1:493121 C26H30N2O4
hit structure
1:493122 C26H30N2O4
hit structure
1:493123 C9H6N4O2
hit structure
1:493124 C15H10N2O6
hit structure
1:493125 C16H12N2O6
hit structure
1:493126 C15H10N2O6
hit structure
1:493127 C16H12N2O6
hit structure
1:493128 C12H12N2O6
hit structure
1:493129 C22H29N3O7
hit structure
1:493130 C14H16N2O6
hit structure
1:493131 C13H14N2O6
hit structure

1
  <<    <    >    >>  

entries in data collection: 498938