Home Browse Text SearchFunctional Group SearchStructure SearchPreferences Administration

selected data collection: 1

IRIS SDF: browse content


1
  <<    <    >    >>  

1:487551 C22H25NO6
hit structure
1:487552 C26H33NO8
hit structure
1:487553 C14H23NO8
hit structure
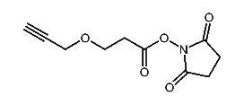
1:487554 C10H15NO6
hit structure
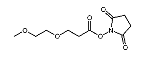
1:487555 C13H27NO6
hit structure
1:487556 C16H31NO8
hit structure
1:487557 C10H11NO5
hit structure
1:487558 C17H27NO9S
hit structure
1:487559 C16H4F10O5
hit structure
1:487560 C12H12N2O9
hit structure
1:487561 C27H37F4N7O6S
hit structure
1:487562 C27H37F4N3O8S
hit structure
1:487563 C30H52N6O7S2
hit structure
1:487564 C10H20O5S
hit structure
1:487565 C11H14F3N3O5
hit structure
1:487566 C20H38N4O5S
hit structure
1:487567 C25H35NO11
hit structure
1:487568 C7H7NO4
hit structure
1:487569 C17H25N3O10
hit structure
1:487570 C21H28N4O12
hit structure
1:487571 C31H39NO6
hit structure
1:487572 C11H21N3O6
hit structure
1:487573 C16H26N2O7
hit structure
1:487574 C6H13NO4
hit structure
1:487575 C10H21NO4
hit structure

1
  <<    <    >    >>  

entries in data collection: 488874