| Home Browse Text SearchFunctional Group SearchStructure Search | Preferences | Administration |
| 1:483143 | C16H22N2O7S2 |
|
|
| 1:483144 | C19H21NO3S2 |
|
|
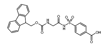
| 1:483145 | C26H24N2O7S2 |
|
|
| 1:483146 | C19H14N2O5S2 |
|
|
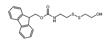
| 1:483147 | C14H21NO3S2 |
|
|
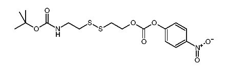
| 1:483148 | C21H24N2O7S2 |
|
|
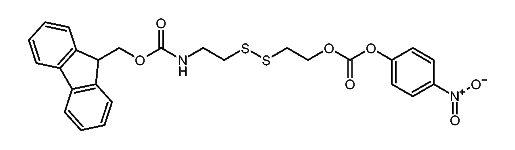
| 1:483149 | C24H23NO3S2 |
|
|
| 1:483150 | C9H11BrN2O5 |
|
|
| 1:483151 | C8H14N2O2S |
|
|
| 1:483152 | C24H20N2O7S |
|
|
| 1:483153 | C16H32ClN3O5 |
|
|
| 1:483154 | C9H9N3O2 |
|
|
| 1:483155 | C10H19NO5 |
|
|
| 1:483156 | C29H35ClN2O4 |
|
|
| 1:483157 | C10H22ClNO2 |
|
|
| 1:483158 | C14H30ClNO4 |
|
|
| 1:483159 | C10H20ClN3O2 |
|
|
| 1:483160 | C14H28ClN3O4 |
|
|
| 1:483161 | C16H26N2O2 |
|
|
| 1:483162 | C16H30N2O2 |
|
|
| 1:483163 | C18H34N2O2 |
|
|
| 1:483164 | C18H30N2O2 |
|
|
| 1:483165 | C29H31NO6 |
|
|
| 1:483166 | C30H29NO6 |
|
|
| 1:483167 | C28H29NO6 |
|
|