Home Browse Text SearchFunctional Group SearchStructure SearchPreferences Administration

selected data collection: 1

IRIS SDF: browse content


1
  <<    <    >    >>  

1:480120 C15H21NO4
hit structure
1:480121 C11H17NO
hit structure
1:480122 C11H15BrO
hit structure
1:480123 C17H25NO3
hit structure
1:480124 C18H30O5
hit structure
1:480125 C19H22O4
hit structure
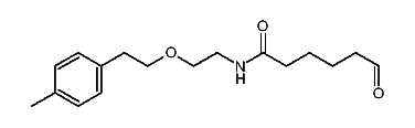
1:480126 C18H20O3
hit structure
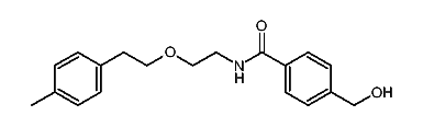
1:480127 C19H23NO3
hit structure
1:480128 C28H30N2O6
hit structure
1:480129 C21H34N2O6
hit structure
1:480130 C29H32N2O6
hit structure
1:480131 C28H30N2O6
hit structure
1:480132 C20H30N2O6
hit structure
1:480133 C21H34N2O6
hit structure
1:480134 C31H36N2O6
hit structure
1:480135 C16H25NO6
hit structure
1:480136 C31H36N2O6
hit structure
1:480137 C31H36N2O6
hit structure
1:480138 C34H42N2O6
hit structure
1:480139 C15H23NO4S
hit structure
1:480140 C34H42N2O6
hit structure
1:480141 C32H38N2O6
hit structure
1:480142 C11H28N2O3
hit structure
1:480143 C11H28N2O3
hit structure
1:480144 C11H28N2O3
hit structure

1
  <<    <    >    >>  

entries in data collection: 483842