Home Browse Text SearchFunctional Group SearchStructure SearchPreferences Administration

selected data collection: 1

IRIS SDF: browse content


1
  <<    <    >    >>  

1:479370 C18H31N3O6
hit structure
1:479371 C19H27N3O6
hit structure
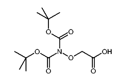
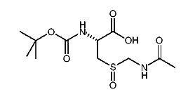
1:479372 C11H20N2O6S
hit structure
1:479373 C16H18F3N3O4
hit structure
1:479374 C25H24N2O5
hit structure
1:479375 C21H22N2O5
hit structure
1:479376 C17H33NO4
hit structure
1:479377 C29H40N4O7S
hit structure
1:479378 C20H23N3O4
hit structure
1:479379 C14H17Cl2NO5
hit structure
1:479380 C16H31NO4
hit structure
1:479381 C17H33NO4
hit structure
1:479382 C25H28N2O6
hit structure
1:479383 C9H16N4O4
hit structure
1:479384 C9H16N4O4
hit structure
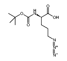
1:479385 C11H20N4O4
hit structure
1:479386 C11H20N4O4
hit structure
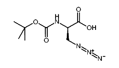
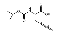
1:479387 C8H14N4O4
hit structure
1:479388 C8H14N4O4
hit structure
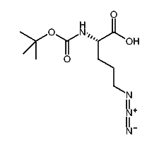
1:479389 C10H18N4O4
hit structure
1:479390 C10H18N4O4
hit structure
1:479391 C12H21NO7
hit structure
1:479392 C13H18N2O4
hit structure
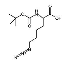
1:479393 C14H18N4O4
hit structure
1:479394 C14H18N4O4
hit structure

1
  <<    <    >    >>  

entries in data collection: 488874