Home Browse Text SearchFunctional Group SearchStructure SearchPreferences Administration

selected data collection: 1

IRIS SDF: browse content


1
  <<    <    >    >>  

1:476856 C8H15NO2
hit structure
1:476857 C7H13NO2
hit structure
1:476858 C12H18N2O4
hit structure
1:476859 C14H26N2O4
hit structure
1:476860 C8H15NO2
hit structure
1:476861 C14H26N2O4
hit structure
1:476862 C16H30N2O4
hit structure
1:476863 C14H22N2O4
hit structure
1:476864 C14H22N2O4
hit structure
1:476865 C18H30N2O4
hit structure
1:476866 C7H13NO2
hit structure
1:476867 C6H13NO2
hit structure
1:476868 C7H15NO2
hit structure
1:476869 C8H17NO2
hit structure
1:476870 C9H19NO2
hit structure
1:476871 C7H15NO2
hit structure
1:476872 C6H13NO2
hit structure
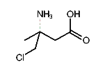
1:476873 C5H10ClNO2
hit structure
1:476874 C9H17NO2
hit structure
1:476875 C10H19NO2
hit structure
1:476876 C7H15NO2
hit structure
1:476877 C7H13NO2
hit structure
1:476878 C7H13NO3
hit structure
1:476879 C5H9NO2
hit structure
1:476880 C6H11NO2
hit structure

1
  <<    <    >    >>  

entries in data collection: 478810