Home Browse Text SearchFunctional Group SearchStructure SearchPreferences Administration

selected data collection: 1

IRIS SDF: browse content


1
  <<    <    >    >>  

1:476578 C30H29F2NO9
hit structure
1:476579 C5H10O5
hit structure
1:476580 C34H44O27R11-
hit structure
1:476581 C5H10O5
hit structure
1:476582 C34H44O27R11-
hit structure
1:476583 C51H63N3O24
hit structure
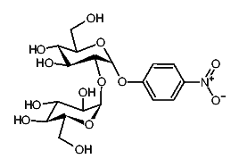
1:476584 C18H25NO13
hit structure
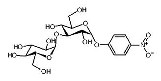
1:476585 C18H25NO13
hit structure
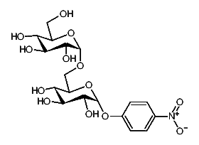
1:476586 C18H25NO13
hit structure
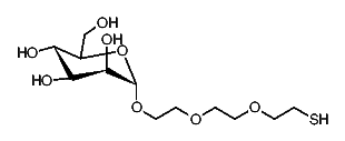
1:476587 C12H24O8S
hit structure
1:476588 C38H39NO14
hit structure
1:476589 C38H39NO14
hit structure
1:476590 C30H33NO12
hit structure
1:476591 C44H51NO22
hit structure
1:476592 C117H166N8O66
hit structure
1:476593 C81H120N6O50
hit structure
1:476594 C69H100N6O40
hit structure
1:476595 C53H74N4O30
hit structure
1:476596 C123H176N8O70
hit structure
1:476597 C87H130N6O54
hit structure
1:476598 C75H110N6O44
hit structure
1:476599 C59H84N4O34
hit structure
1:476600 C99H143N7O58
hit structure
1:476601 C99H143N7O58
hit structure
1:476602 C75H110N6O45
hit structure

1
  <<    <    >    >>  

entries in data collection: 478810