Home Browse Text SearchFunctional Group SearchStructure SearchPreferences Administration

selected data collection: 1

IRIS SDF: browse content


1
  <<    <    >    >>  

1:476478 C24H28N2O6
hit structure
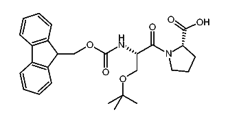
1:476479 C27H32N2O6
hit structure
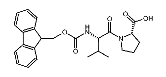
1:476480 C25H30N2O6
hit structure
1:476481 C31H29N3O5
hit structure
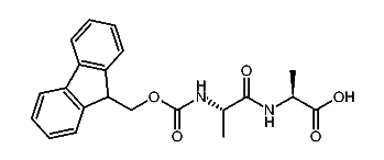
1:476482 C22H24N2O5
hit structure
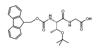
1:476483 C25H28N2O5
hit structure
1:476484 C35H40N2O9
hit structure
1:476485 C35H28N2O7
hit structure
1:476486 C36H43N5O8S
hit structure
1:476487 C28H35N3O7
hit structure
1:476488 C22H24N2O5S
hit structure
1:476489 C27H29N3O7
hit structure
1:476490 C31H34N2O7
hit structure
1:476491 C26H35N5O5
hit structure
1:476492 C32H36N2O7
hit structure
1:476493 C29H30N2O7
hit structure
1:476494 C34H38N2O9
hit structure
1:476495 C28H28N2O7
hit structure
1:476496 C32H36N2O7
hit structure
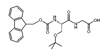
1:476497 C21H22N2O5
hit structure
1:476498 C45H40N4O5
hit structure
1:476499 C32H36N2O6
hit structure
1:476500 C25H26N4O5
hit structure
1:476501 C30H33N3O6
hit structure
1:476502 C23H24N2O5
hit structure

1
  <<    <    >    >>  

entries in data collection: 478810