Home Browse Text SearchFunctional Group SearchStructure SearchPreferences Administration

selected data collection: 1

IRIS SDF: browse content


1
  <<    <    >    >>  

1:476403 C27H23ClN2O4
hit structure
1:476404 C26H28N2O6
hit structure
1:476405 C26H22N4O6
hit structure
1:476406 C21H22N2O5
hit structure
1:476407 C27H24N4O6
hit structure
1:476408 C24H18N2O6
hit structure
1:476409 C24H19NO4
hit structure
1:476410 C25H28N2O4S
hit structure
1:476411 C40H37NO4S
hit structure
1:476412 C41H39NO4S
hit structure
1:476413 C24H28N2O6
hit structure
1:476414 C25H30N2O6
hit structure
1:476415 C21H23NO4S
hit structure
1:476416 C26H31NO6
hit structure
1:476417 C27H37NO5Si
hit structure
1:476418 C37H45N7O7S
hit structure
1:476419 C24H28N2O5
hit structure
1:476420 C22H24N4O4
hit structure
1:476421 C35H44N2O6
hit structure
1:476422 C25H28N2O5
hit structure
1:476423 C28H28N2O8S
hit structure
1:476424 C29H27N5O3S
hit structure
1:476425 C26H19N3O4S2
hit structure
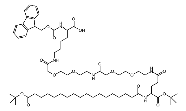
1:476426 C64H101N5O16
hit structure
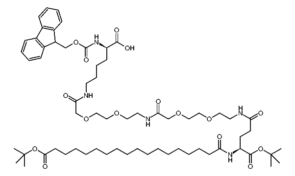
1:476427 C64H101N5O16
hit structure

1
  <<    <    >    >>  

entries in data collection: 478810