Home Browse Text SearchFunctional Group SearchStructure SearchPreferences Administration

selected data collection: 1

IRIS SDF: browse content


1
  <<    <    >    >>  

1:468372 C59H49N3O6
hit structure
1:468373 C44H42N2O7
hit structure
1:468374 C58H48N2O5S
hit structure
1:468375 C42H39N3O6S
hit structure
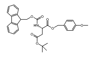
1:468376 C43H42N2O5S
hit structure
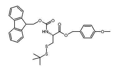
1:468377 C43H42N2O5S2
hit structure
1:468378 C60H51N3O6
hit structure
1:468379 C45H44N2O7
hit structure
1:468380 C38H32N2O5
hit structure
1:468381 C61H50N4O5
hit structure
1:468382 C52H47N3O7
hit structure
1:468383 C27H29NO5
hit structure
1:468384 C43H52N4O8S
hit structure
1:468385 C44H54N4O8S
hit structure
1:468386 C47H44N2O6
hit structure
1:468387 C32H37NO7
hit structure
1:468388 C46H43NO5S
hit structure
1:468389 C30H34N2O6S
hit structure
1:468390 C31H37NO5S
hit structure
1:468391 C31H37NO5S2
hit structure
1:468392 C48H46N2O6
hit structure
1:468393 C33H39NO7
hit structure
1:468394 C26H27NO5
hit structure
1:468395 C49H45N3O5
hit structure
1:468396 C30H35NO5
hit structure

1
  <<    <    >    >>  

entries in data collection: 468746