Home Browse Text SearchFunctional Group SearchStructure SearchPreferences Administration

selected data collection: 1

IRIS SDF: browse content


1
  <<    <    >    >>  

1:449238 C13H24N2O5S2
hit structure
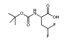
1:449239 C9H15F2NO4
hit structure
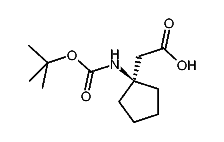
1:449240 C14H28N2O4
hit structure
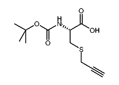
1:449241 C11H17NO4S
hit structure
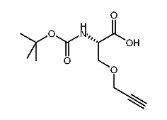
1:449242 C10H15NO5
hit structure
1:449243 C11H17NO5
hit structure
1:449244 C17H21NO5
hit structure
1:449245 C14H19NO4
hit structure
1:449246 C14H19NO4
hit structure
1:449247 C14H19NO4
hit structure
1:449248 C22H34N2O8
hit structure
1:449249 C12H21NO4
hit structure
1:449250 C13H23NO4
hit structure
1:449251 C14H25NO4
hit structure
1:449252 C15H27NO4
hit structure
1:449253 C12H21NO5
hit structure
1:449254 C10H17NO4
hit structure
1:449255 C11H19NO4
hit structure
1:449256 C12H21NO4
hit structure
1:449257 C22H38N2O8
hit structure
1:449258 C26H42N2O8
hit structure
1:449259 C26H38N2O8
hit structure
1:449260 C28H50N2O8
hit structure
1:449261 C28H46N2O8
hit structure
1:449262 C24H42N2O8
hit structure

1
  <<    <    >    >>  

entries in data collection: 463714