Home Browse Text SearchFunctional Group SearchStructure SearchPreferences Administration

selected data collection: 1

IRIS SDF: browse content


1
  <<    <    >    >>  

1:449088 C12H15NO4
hit structure
1:449089 C12H15NO4
hit structure
1:449090 C13H17NO4
hit structure
1:449091 C13H23NO4
hit structure
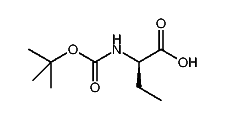
1:449092 C11H21NO4
hit structure
1:449093 C13H25NO4
hit structure
1:449094 C18H21NO4
hit structure
1:449095 C9H17NO4
hit structure
1:449096 C16H21NO4
hit structure
1:449097 C18H28N4O6S
hit structure
1:449098 C21H23NO5
hit structure
1:449099 C10H18N2O5
hit structure
1:449100 C17H23NO6
hit structure
1:449101 C19H28N2O6
hit structure
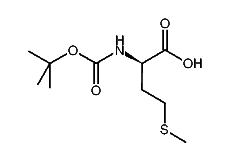
1:449102 C10H19NO4S
hit structure
1:449103 C14H18FNO4
hit structure
1:449104 C14H17Cl2NO4
hit structure
1:449105 C14H17F2NO4
hit structure
1:449106 C14H18FNO4
hit structure
1:449107 C14H18INO4
hit structure
1:449108 C14H18BrNO4
hit structure
1:449109 C14H18FNO4
hit structure
1:449110 C15H21NO4
hit structure
1:449111 C14H20N2O4
hit structure
1:449112 C29H30N2O6
hit structure

1
  <<    <    >    >>  

entries in data collection: 463714