Home Browse Text SearchFunctional Group SearchStructure SearchPreferences Administration

selected data collection: 1

IRIS SDF: browse content


1
  <<    <    >    >>  

1:448963 C13H23NO6
hit structure
1:448964 C13H23NO6
hit structure
1:448965 C13H23NO6
hit structure
1:448966 C11H20N2O5S
hit structure
1:448967 C15H21NO4S
hit structure
1:448968 C16H23NO4S
hit structure
1:448969 C16H23NO5S
hit structure
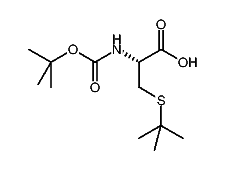
1:448970 C12H23NO4S
hit structure
1:448971 C16H27NO6
hit structure
1:448972 C16H25N3O6
hit structure
1:448973 C11H17N3O4
hit structure
1:448974 C10H17NO5
hit structure
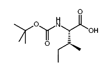
1:448975 C11H21NO4
hit structure
1:448976 C11H21NO4
hit structure
1:448977 C19H27ClN2O6
hit structure
1:448978 C15H26N2O6
hit structure
1:448979 C16H30N2O6
hit structure
1:448980 C19H28N2O6
hit structure
1:448981 C11H22N2O4
hit structure
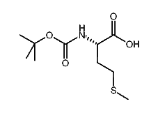
1:448982 C9H17NO4
hit structure
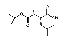
1:448983 C12H23NO4
hit structure
1:448984 C12H23NO4
hit structure
1:448985 C15H21NO4
hit structure
1:448986 C10H19NO4S
hit structure
1:448987 C22H27NO5
hit structure

1
  <<    <    >    >>  

entries in data collection: 458682