Home Browse Text SearchFunctional Group SearchStructure SearchPreferences Administration

selected data collection: 1

IRIS SDF: browse content


1
  <<    <    >    >>  

1:448788 C20H17NO9
hit structure
1:448789 C42H54N6O9
hit structure
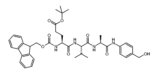
1:448790 C49H57N7O13
hit structure
1:448791 C39H48N4O8
hit structure
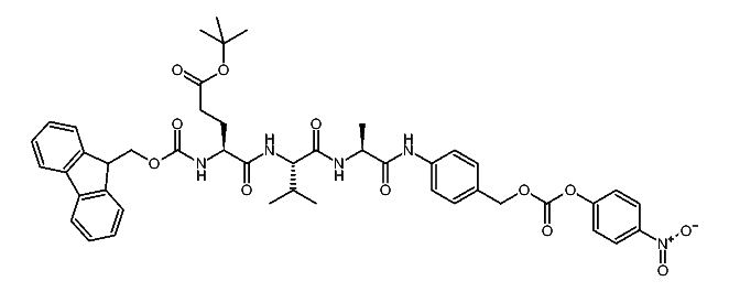
1:448792 C46H51N5O12
hit structure
1:448793 C12H14N2O
hit structure
1:448794 C9H18N2O2
hit structure
1:448795 C15H14N2O2
hit structure
1:448796 C11H26N2O4
hit structure
1:448797 C14H24N2O4
hit structure
1:448798 C11H26N2O4
hit structure
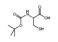
1:448799 C8H15NO4S
hit structure
1:448800 C27H29NO4S
hit structure
1:448801 C13H22N2O6
hit structure
1:448802 C24H28N2O6
hit structure
1:448803 C9H18N2O4
hit structure
1:448804 C23H26N2O6
hit structure
1:448805 C23H26N2O6
hit structure
1:448806 C10H18N2O5
hit structure
1:448807 C13H21NO6
hit structure
1:448808 C17H23NO6
hit structure
1:448809 C15H32N2O5
hit structure
1:448810 C13H26N2O2
hit structure
1:448811 C9H20N2O2
hit structure
1:448812 C10H22N2O2
hit structure

1
  <<    <    >    >>  

entries in data collection: 458682